按照《重庆市属事业单位2025年第二季度公开招聘工作人员公告》要求,现将市水利局属事业单位重庆市河道事务中心、重庆市水利发展研究中心公开招聘工作人员笔试成绩及进入面试资格复审人员名单公示。
一、公示期
2025年7月18日至7月28日(7个工作日)。
二、受理地点及电话
地点:重庆市水利局组织人事处
通讯地址(邮编):渝北区新南路3号401147
联系人:张月巧
联系电话:023-89072161
三、公示要求
(一)如对公示内容有异议,请以书面、署名形式反映。
(二)反映人必须用真实姓名,反映情况要实事求是,真实、具体、敢于负责。不允许借机捏造事实,泄愤报复或有意诬陷,一经查实,将严肃处理。
(三)受理机构对反映人员和反映的情况严格保密。
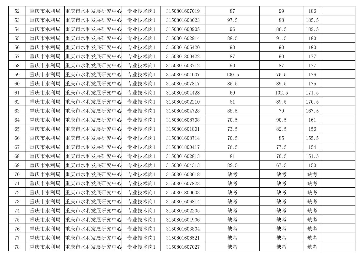
附件:2025年第二季度市水利局属事业单位公开招聘工作人员笔试成绩及进入资格复审人员名单
重庆市水利局
2025年7月17日
附件:




全文下载:![]()
附件下载:![]()
